本期着重对医院洁净手术室要求及检测方法进行详细阐述。
中华人民共和国住房和城乡建设部于2013年11月29日发布医院洁净手术部建筑技术规范(GB50333-2013),并于2014年6月1日实施。本规范是根据住房和城乡建设部《关于印发〈2011年工程建设标准规范制订、修订计划的通知〉》(建标[2011]17号)的要求,由中国建筑科学研究院会同有关单位在原国标医院《洁净手术部建筑技术规范》GB50333-2002的基础上修订完成。
1、与洁净室(区)相关的要求:
1.1医院洁净手术部是指由洁净手术室、洁净辅助用房和非洁净辅助用房等一部分或全部组成的独立的功能区域。洁净室区域按照空气洁净度可分为5个等级,分级标准如表1.1-1所示。洁净手术部洁净用房按空态或静态条件下的细菌浓度分为四个等级,洁净手术室分级标准如表1.1-2所示。洁净辅助用房分级标准应符合表1.1-3的规定。
表1.1-1空气洁净度分级标准
空气洁净度级别 | 空气中微粒数量(粒/m3) | |
0.5μm | 5μm | |
5级(100级) | 3500 | 0 |
6级(1000级) | 35200 | 293 |
7级(10000级) | 352000 | 2930 |
8级(100000级) | 3520000 | 29300 |
8.5级(30万级) | 11120000 | 92500 |
表1.1-2洁净手术室用房的分级标准
洁净用房等级 | 沉降法(浮游法) 细菌最大平均浓度 | 空气洁净度级别 | 参考手术 | ||
手术区 | 周边区 | 手术区 | 周边区 | ||
Ⅰ | 0.2cfu/30min· Φ90皿(5cfu/m3) | 0.4cfu/30min· Φ90皿(10cfu/m3) | 5 | 6 | 假体植入、某些大型器官移植、手术部位感染可危及生命及生活质量等手术 |
Ⅱ | 0.75cfu/30min· Φ90皿(25cfu/m3) | 1.5cfu/30min· Φ90皿(50cfu/m3) | 6 | 7 | 涉及深部组织及生命主要器官的大型手术 |
续表1.1-2
洁净用房等级 | 沉降法(浮游法) 细菌最大平均浓度 | 空气洁净度级别 | 参考手术 | ||
手术区 | 周边区 | 手术区 | 周边区 | ||
Ⅲ | 2cfu/30min· Φ90皿(75cfu/m3) | 4cfu/30min· Φ90皿(150cfu/m3) | 7 | 8 | 其他外科手术 |
Ⅳ | 6cfu/30min·Φ90皿 | 8.5 | 感染和重度污染手术 | ||
注;1浮游法的细菌最大平均浓度采用括号内数值。细菌浓度是直接所测的结果,不是沉降法和浮游法互相换算的结果。
2眼科专用手术室周边区洁净度级别比手术区的可低2级。
表1.1-3洁净辅助用房的分级标准
洁净用房等级 | 沉降法(浮游法)细菌最大平均浓度 | 空气洁净度级别 |
Ⅰ | 局部集中送风区域:0.2个/30min·Φ90皿,其他区域:0.4个/30min·Φ90皿 | 局部5级,其他区域6级 |
Ⅱ | 1.5cfu/30min·Φ90皿 | 7级 |
Ⅲ | 4cfu/30min·Φ90皿 | 8级 |
Ⅳ | 6cfu/30min·Φ90皿 | 8.5级 |
注;1浮游法的细菌最大平均浓度采用括号内数值。细菌浓度是直接所测的结果,不是沉降法和浮游法互相换算的结果。
1.2洁净手术部用房不仅对空气洁净度有相应的标准要求,根据洁净手术用房的不同用途对室内压力、最小换气次数、工作区平均风速、温度、湿度、最小新风量、噪声、最低照度、最少术间自净时间等参数制定了相应的技术指标。洁净手术用房应满足表1.2-1中对各项参数的要求。
表1.2-1洁净手术部用房主要技术指标
名称 | 室内压力 | 最小换气次数(次/h) | 工作区平均风速(m/s) | 温度(℃) | 相对湿度(%) | 最小新风量m3/h·m2 或次/h(仅指本栏括号中数据) | 噪声dB(A) | 最低照度(lx) | 最少术间自净时间(min) |
Ⅰ级洁净手术室和需要无菌操作的特殊用房 | 正 | — | 0.20~0.25 | 21~25 | 30~60 | 15~20 | ≤51 | ≥350 | 10 |
Ⅱ级洁净手术室 | 正 | 24 | — | 21~25 | 30~60 | 15~20 | ≤49 | ≥350 | 20 |
Ⅲ级洁净手术室 | 正 | 18 | — | 21~25 | 30~60 | 15~20 | ≤49 | ≥350 | 20 |
Ⅳ级洁净手术室 | 正 | 12 | — | 21~25 | 30~60 | 15~20 | ≤49 | ≥350 | 30 |
体外循环室 | 正 | 12 | — | 21~27 | ≤60 | (2) | ≤60 | ≥150 | — |
无菌敷料室 | 正 | 12 | — | ≤27 | ≤60 | (2) | ≤60 | ≥150 | — |
未拆封器械、无菌药品、一次性物品和精密仪器存放室 | 正 | 10 | — | ≤27 | ≤60 | (2) | ≤60 | ≥150 | — |
护士站 | 正 | 10 | — | 21~27 | ≤60 | (2) | ≤55 | ≥150 | — |
预麻醉室 | 10 | — | 23~26 | 30~60 | (2) | ≤55 | ≥150 | — | |
手术室前室 | 正 | 8 | — | 21~27 | ≤60 | (2) | ≤60 | ≥150 | — |
名称 | 室内压力 | 最小换气次数(次/h) | 工作区平均风速(m/s) | 温度(℃) | 相对湿度(%) | 最小新风量m3/h·m2 或次/h(仅指本栏括号中数据) | 噪声dB(A) | 最低照度(lx) | 最少术间自净时间(min) |
刷手间 | 8 | — | 21~27 | — | (2) | ≤55 | ≥150 | — | |
洁净区走廊 | 正 | 8 | — | 21~27 | ≤60 | (2) | ≤52 | ≥150 | — |
恢复室 | 正 | 8 | — | 22~26 | 25~60 | (2) | ≤48 | ≥200 | — |
脱包间 | 外脱包间负 | — | — | — | — | — | — | — | — |
内间暂存正 | 8 | — | — | — | — | — | — | — |
2检测方法
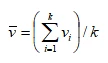
2.1洁净度5级区域地面上1.2m高截面风速的检验应符合下列要求:
2.1.1对Ⅰ级洁净手术室达到5级洁净度的手术区和有局部5级的工级洁净辅助用房中达到5级洁净度的区域,应在送风温度稳定后测其地面上1.2m截面平均风速,检测结果不应小于表1规定的风速范围的平均值,并不应超过上限。截面平均风速应按下式计算∶

式中vi一每个测点的速度(m/s);
k一测点数。
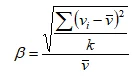
2.1.2风速不均匀度β应按下式计算:

式中:
——每个测点的速度(m/s);
——各测点平均速度(m/s);
——测点数。
风速不均匀度β应小于等于0.24。
2.1.3测点范围应为集中送风面正投影区边界0.12m内的面积,均匀布点,测点平面布置(图1)测点高度距地1.2m,应无手术台或工作面阻隔,测点间距不应大于0.3m。当有不能移动的阻隔时,应记录在案。
2.1.4检测仪器最小分辨率应能达到0.01m/s,仪器测杆应固定位置,不应手持。每点检测时间不应少于5s,每秒记录1次,取平均值。
图1地面以上1.2m截面风速测点平面布置
2.2Ⅱ级~Ⅳ级手术室送风速度和换气次数的检验应符合下列要求∶
2.2.1对Ⅱ、Ⅲ级洁净手术室应测送风面平均风速,测点高度在送风面下方0.1m以内,测点之间距离不应超过0.3m。送风面速度测点断面布置(图2)最外边测点应在送风口边界内0.05m,均匀布点。送风面各点风速范围应满足在Ⅱ、Ⅲ级手术室集中送风装置送风面以下0.1m的截面上的送风速度应能均匀分布,宜在0.1m/s~0.4m/s之间,不得出现无速度的盲区。
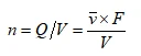
2.2.2在达到上述点风速的条件后,换气次数应按下式计算,
图2送风面速度测点断面布置
换气次数检测结果不应小丁本规范表1的规定,不宜超过设计值的15%。

式中∶Q——房间送风量(m3/h);
——送风面平均速度(m/s);
F——送风面面积(m2);
V———房间体积(m3)。
2.2.3对Ⅳ级洁净手术室和洁净辅助用房的分散送风口应通过检测送风口风量换算得出换气次数,检测结果不应小于本规范表1的规定,不宜超过设计值的15%。对于分散布置的送风口的检测方法应符合现行国家标准《洁净室施工及验收规范》GB50591的有关规定。
2.3末级过滤器检漏应符合下列要求∶
2.3.1每个高效过滤器送风口的过滤器安装边框和滤芯以及送风面内所有缝隙都应检漏。每次更换过滤器后都应重新检漏。
2.3.2非高效过滤器送风口是否检漏以及检漏标准可由甲乙双方商定。
2.3.3检测方法应按现行国家标准《洁净室施工及验收规范》GB50591的有关规定执行。
2.4手术室严密性的检验应符合下列要求∶
2.4.1应在设计的正压或负压下检验。
2.4.2除门缝不测以外,应用发烟管在所有缝隙处发烟,检查有无可见泄漏。
2.5静压差的检验应符合下列要求;
2.5.1在沽净区所有门都关闭的条件下,应从平面上最里面的房间依次向外或从空气洁净度级别最高的房间依次向低级别的房间进行检验,测出静压差合格后还应检测其相邻两间洁净用房的静压差,结果应符合本规范表1的要求,对于Ⅰ级洁净用房静压差合格后还应检测其开门后门内0.6m处洁净度,并应达标。
2.5.2有不可关闭的开口与邻室相通的洁净室的静压差检测应符合现行国家标准《洁净室施工及验收规范》GB50591的有关规定。
2.5.3测定高度应距地面0.8m,测孔截面应平行于气流方向,测点应选在无涡流无回风口的位置。检测仪器应为读值分辨率可达到1Pa的微压计。
2.5.4.无压差具体数值要求或有气流流向要求的相邻洁净用房之间,应仅用丝线(或发烟)观察流向。
2.6洁净度级别的检验应符合下列要求;
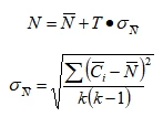
2.6.1洁净手术室和洁净辅助用房洁净度级别的检测,应在系统至少已运行30min,并确认风速、换气次数、检漏和静压差的检测无明显问题之后进行。对大于等于0.5μm和大于等于5μm的微粒,检测结果均应同时满足下列条件∶应由各点平均含尘浓度
和室平均浓度
按下式计算出N,并应小于表1.1-2与表1.1-3规定级别的上限浓度。

式中t——单侧分布系数,置信度上限达95%时,应按表2.6-1取值。
表2.6-1系数t
测点数 | 2 | 3 | 4 | 5 | 6 | 7 | 8 | 9 |
系数t | 6.31 | 2.92 | 2.35 | 2.13 | 2.02 | 1.94 | 1.90 | 1.86 |
注:当测点数为9点以上时,
。
2.6.2当送风口集中布置时,应对手术区和周边区分别检测,测点数和位置应符合表2.6-2的规定,测点数不少于3点;当附近有显著障碍物时,可适当避开;应避开送风口正下方∶当送风口分散布置时,应按全室统一布点检测,测点可均布,但不应布置在送风口正下方。
表2.6-2测点位置表
2.6.3每次粒子计数器采样的最小采样量5级区域应为8.6L,以下各级区域应为2.83L。
2.6.4测点布置应在距地面0.8m高的平面上,在手术区检测时应无手术台。当手术台已固定时,台面上测点应高出台面0.25m,并应记录在案。
2.6.5当在5级区域检测时,采样口应对着气流方向;当在其他级别区域检测时,采样口均应向上。
2.6.6当检测含尘浓度时,检测人员不得多于2人,都应穿洁净工作服,处于测点下风向的位置,减少动作。
2.6.7当检测含尘浓度时,除无影灯外,手术室照明灯应全部打开。
2.7温湿度的检测应符合下列要求∶
2.7.1室内温湿度测定应为距地面0.8m高的中心点,检测结果应符合本规范表1的规定,检测仪器为可显示小数后一位的数字式温湿度测量仪。
2.7.2测量值应通过调试达到测定时气象条件下静态能力的极值,如有疑问或建设方有要求,可在动态下或最不利季节复核。
2.7.3测出室内的温湿度之后,应同时测出当天室外温湿度。
2.8噪声的检测应符合下列要求;
2.8.1噪声检测宜在外界干扰较小的晚间进行,以A声级为准。不足15m2的房间应在室中心测一点,超过15m2的应在室中心和四角共测5点。洁净手术室测点高度为地上1.5m,其他房间应为地上1.1m。检测结果应符合本规范表1的规定。检测仪器宜用带倍频程分析仪的声级计。
2.8.2全部噪声测定之后,应关闭净化空调系统测定背景噪声,当背景噪声与室内噪声之差小于10dB时,室内噪声应按常规予以修正。
2.9照度的检测应符合下列要求∶
2.9.1照度检测应在光源输出趋于稳定时不开无影灯,无自然采光条件下进行。
2.9.2测点应距地面0.8m,离墙面0.5m,应按间距不超过2m均匀布点,不刻意在灯下或避开灯下选点。各点中最小的照度值应符合本规范表1的规定,照度均匀度应小于等于0.24。
2.10新风量的检测应符合下列要求∶
2.10.1新风量的检测应在室外无风或微风条件下进行。
2.10.2通过测定新风口风速或新风管中的风速,应按进风净面积换算成新风量,结果应在室内静压达到标准的前提下,不应低于本规范表1的规定,并不宜超过设计值的10%。
2.11细菌浓度的检测应符合下列要求∶
2.11.1细菌浓度宜在其他项目检测完毕,对全室表面进行常规消毒之后进行。不得进行空气消毒。
2.11.2当送风口集中布置时,应对手术区和周边区分别检测;当送风口分散布置时,应全室统一检测。
2.113当采用浮游法测定浮游菌浓度时,细菌浓度测点数应和被测区域的含尘浓度测点点数相同,且宜在同一位置上。每次采样应满足表2.11-1规定的最小采样量的要求,每次采样时间不应超过30min。
表2.11-1浮游菌最小采样量
被测区域洁净度级别 | 每点最小采样量m3(L) |
5级 | 1(1000) |
6级 | 0.3(300) |
7级 | 0.2(200) |
8级 | 0.1(100) |
8.5级 | 0.1(100) |
2.11.4当用沉降法测定沉降菌浓度时,细菌浓度测点数应和被测区域含尘浓度测点数相同,同时应满足表2.11-2规定的最少培养皿数的要求。
表2.11-2沉降菌最小培养皿数
被测区域洁净度级别 | 每区最少培养皿数,培养皿直径 90mm(Φ90),以沉降30min计 |
5级 | 13 |
6级 | 4 |
7级 | 3 |
8级 | 2 |
8.5级 | 2 |
注:如沉降时间适当延长,则最少培养皿数可以按比例减少,但不得少于含尘浓
度的最少测点数。采样时间略低于或高于30min时,可进行换算。
2.11.5采样点可布置在地面上或不高于地面0.8m的任意高度上。
2.11.6细菌浓度检测方法,应有2次空白对照。第1次应对用于检测的培养皿或培养基条做对比试验,每批一个对照皿。第2次是在检测时,应每室或每区1个对照皿,对操作过程做对照试验∶模拟操作过程,但培养皿或培养基条打开后应又立即封盖。两次对照结果都应为阴性。整个操作应符合无菌操作的要求。采样后的培养基条或培养皿,应置于37℃条件下培养24h,然后计数生长的菌落数。菌落数的平均值均应四舍五入进位到小数点后1位。
2.11.7当某个皿菌落数太大受到质疑时,应重测;当结果仍很大时,应以两次均值为准;当结果很小时,可再重测或分析判定。
2.11.8布皿和收皿的检测人员应遵守无菌操作的要求。