本期着重对动物实验区要求及检测方法进行详细阐述。
中华人民共和国住房和城乡建设部于2008年08月13日发布实验动物设施建筑技术规范(GB 50447-2008),并于2008年12月1日实施。本规范是根据建设部《关于印发 〈2005 年工程建设标准规范制订、修订计划(第一批)〉的通知》(建标函 【2005】 84 号)的要求,由中国建筑科学研究院会同有关科研、设计、施工、检测和管理单位共同编制而成。
1与洁净室(区)相关的要求:
1.1实验动物实验设施指以研究、试验、教学、生物制品、药品及相关产品生产、质控等为目的而进行实验动物实验的建筑物和设备的总和。
包括动物实验区、辅助实验区、辅助区。
实验动物实验设施环境条件根据空气净化的控制程度,可分为普通环境、屏障环境、隔离环境;按照设施的使用功能,可分为实验动物生产设施和实验动物实验设施。
1.1.1 普通环境
符合动物居住的基本要求,控制人员和物品、动物出入,不能完全控制传染因子,但能控制野生动物的进入,适用于饲育基础级实验动物。
1.1.2 屏障环境 符合动物居住的要求,严格控制人员、物品和空气的进出,适用于饲育清洁实验动物及无特定病原体(specific pathogen free,简称 SPF)实验动物。
1.1.3 隔离环境
采用无菌隔离装置以保持装置内无菌状态或无外来污染物。隔离装置内的空气、饲料、水、垫料和设备应无菌,动物和物料的动态传递须经特殊的传递系统,该系统既能保证与环境的绝对隔离,又能满足转运动物、物品时保持与内环境—致。适用于饲育无特定病原体、悉生(gnotobiotic)及无菌(germ free)实验动物。
1.2不同级别的实验动物环境设施使用功能如表1.2-1所示
表1.2-1实验动物环境设施的分类
| 环境设施分类 | 使用功能 | 适用动物等级 | |
| 普通环境 | 实验动物生产、动物实验、检疫 | 基础动物 | |
| 屏障环境 | 正压 | 实验动物生产、动物实验、检疫 | 清洁动物、SPF动物 | 
| 负压 | 动物实验、检疫 | 清洁动物、SPF动物 | |
| 隔离环境 | 正压 | 实验动物生产、动物实验、检疫 | 无菌动物、SPF动物、悉生动物 | 
| 负压 | 动物实验、检疫 | 清洁动物、SPF动物、悉生动物 | |
1.3实验动物生产设施动物生产区的环境指标应符合表1.3-1的要求。
表1.3-1 动物生产区的环境指标
| 项目 | 指标 | |||||||
| 小鼠、大鼠、豚鼠、地鼠 | 犬、猴、猫、兔、小型猪 | 鸡 | ||||||
| 普通环境 | 屏障环境 | 隔离环境 | 普通环境 | 屏障环境 | 隔离环境 | 屏障环境 | ||
| 温度,℃ | 18~29 | 20~26 | 16~28 | 20~26 | 16~28 | |||
| 最大日温差,℃ | — | 4 | — | 4 | 4 | |||
| 相对湿度,% | 40~70 | |||||||
| 最小换气次数, 次/h | 8 | 15 | — | 8 | 15 | — | 15 | |
| 动物笼具周边处气流速度,m/s | ≤0.2 | |||||||
| 与相通房间的最小静压差,Pa | — | 10 | 50 | — | 10 | 50 | 10 | |
| 空气洁净度,级 | — | 7 | — | — | 7 | — | 7 | |
| 沉降菌最大平均浓度,个/0.5h,Φ90mm平皿 | — | 3 | 无检出 | — | 3 | 无检出 | 3 | |
| 氨浓度指标,mg/m3 | ≤14 | |||||||
| 噪声,dB(A) | ≤60 | |||||||
| 照度,lx | 最低工作照度 | 150 | ||||||
| 动物照度 | 15~20 | 100~200 | 5~10 | |||||
| 昼夜明暗交替时间,h | 12/12或10/14 | |||||||
注∶ 1 表中氨浓度指标为有实验动物时的指标。
2 普通环境的温度、湿度和换气次数指标为参考值,可根据实际需要确定。
3 隔离环境与所在房间的最小静压差应满足设备的要求。
4 隔离环境的空气洁净度等级根据设备的要求确定参数。
1.4 动物实验间的环境技术指标应符合表1.4-1的要求。特殊动物实验设施动物实验间的技术指标除满足表1.4-1的要求外,还应符合相关标准的要求。
表1.4-1 动物实验间的环境技术指标
| 项目 | 指标 | |||||||||
| 小鼠、大鼠 | 豚鼠、地鼠 | 犬、猴、猫、兔、小型猪 | 鸡 | |||||||
| 屏障环境 | 隔离环境 | 普通环境 | 屏障环境 | 隔离环境 | 普通环境 | 屏障环境 | 隔离环境 | 隔离环境 | ||
| 温度/℃ | 20~26 | 18~29 | 20~26 | 16~26 | 20~26 | 16~26 | ||||
| 最大日温差/℃≤ | 4 | |||||||||
| 相对湿度/% | 40~70 | |||||||||
| 最小换气次数/ (次/h) ≤ | 15a | 20 | 8b | 15a | 20 | 8b | 15a | 20 | 20 | |
| 动物笼具周边处气流速度/(m/s)≤ | 0.2 | |||||||||
| 与相通房间的最小静压差/Pa ≤ | 10 | 50c | — | 10 | 50c | — | 10 | 50c | 50c | |
| 空气洁净度/级 | 7 | 5或7d | — | 7 | 5或7d | — | 7 | 5或7d | 5 | |
| 沉降菌最大平均浓度/(CFU/0.5h,Φ90mm平皿) ≤ | 3 | 无检出 | — | 3 | 无检出 | — | 3 | 无检出 | 无检出 | |
| 氨浓度/(mg/m3)≤ | 14 | |||||||||
| 噪声/dB(A)≤ | 60 | |||||||||
| 照度/lx | 最低工作照度 ≥ | 200 | ||||||||
| 动物照度 | 15~20 | 100~200 | 5~10 | |||||||
| 昼夜明暗交替时间/h | 12/12或10/14 | |||||||||
| 注 1:表中一表示不作要求 注 2:表中氨浓度指标为动态指标。 注 3:温度、相对湿度、压差是日常性检测指标;日温差、噪声、气流速度,照度、氨气浓度为监督性检测指标;空气洁净度、换气次数、沉降菌最大平均浓度、昼夜明暗交替时间为必要时检测指标。 注 4:静态检测除氨浓度外的所有指标,动态检测非常性检测指标和监督性检测指标,设施设备调试和/或更换过滤器后检测必要检测指标。 | ||||||||||
| a 为降低能耗,非工作时间可降低换气次数,但不应低于 10次/h。 b 可根据动物种类和饲养密度适当增加。 c 指隔离设备内外静压差。 d 根据设备的要求选择参数。用于饲养无菌动物和免疫缺陷动物时,洁净度应达到 5 级。 | ||||||||||
2检测方法
实验动物及动物实验设施和环境条件的检测依据国家标准《实验动物 环境及设施》(GB 14925-2010),该标准规定了实验动物及动物实验设施和环境条件的技术要求及检测方法,同时规定了垫料、饮水和笼具的原则要求。
2.1温湿度检测方法
2.1.1 测定条件
2.1.1.1 在设施竣工空调系统运转 48h 后或设施正常运行之中进行测定。测定时,应根据设施设计要求的空调和洁净等级确定动物饲育区及实验工作区,并在区内布置测点。
2.1.1.2 一般饲育室应选择动物笼具放置区域范围为动物饲育区。
2.1.1.3 恒温恒湿房间离围护结构 0.5 m,离地面高度 0.1 m~2 m 处为饲育区。
2.1.1.4洁净房间垂直平行流和乱流的饲育区与恒温恒湿房间相同。
2.1.2 测量仪器
2.1.2.1 测量仪器精密度为 0.1 以上标准水银干湿温度计及热敏电阻式数字型温湿度测定仪。
2.1.2.2 测量仪器应在有效检定期内。
2.1.3 测定方法
2.1.3.1当设施环境温度波动范围大于2 ℃,室内相对湿度波动范,围大于10%,温湿度测定宜连续进行 8h,每次测定间隔为 15 min~30 min。
2.1.3.2 乱流洁净室按洁净面积不大于 50 m2 至少布置测定 5个测点,每增加 20 m2~50 m2增加3个~ 5个位点。
2.2气流速度检测方法
2.2.1 测定条件
在设施运转接近设计负荷,连续运行 48 h 以上进行测定。
2.2.2 测量仪器
2.2.2.1 测量仪器为精密度为0.01 以上的热球式电风速计,或智能化数字显示式风速计,校准仪器后进行检测。
2.2.2.2 测量仪器应在有效检定期内。
2.2.3 测定方法
2.2.3.1 布点
2.2.3.1.1 应根据设计要求和使用目的确定动物饲育区和实验工作区,要在区内布置测点。
2.2.3.1.2 一般空调房间应选择放置在实验动物笼具处的具有代表性的位置布点,尚无安装笼具时在离围护结构 0.5 m,离地高度1.0rn 及室内中心位置布点。
2.2.3.2 测定方法
2.2.3.2.1 检测在实验工作区或动物饲育区内进行,当无特殊要求时,于地面高度 1.0 m 处进行测定。
2.2.3.2.2 乱流洁净室按洁净面积不大于50 m2至少布置测定5个测点,每增加20 m2~50 m2增加3个~5个位点。
2.2.4 数据整理
2.2.4.1 每个测点的数据应在测试仪器稳定运行条件下测定,数字稳定 10 s 后读取。
2.2.4. 2 乱流洁净室内取各测定点平均值,并根据各测定点各次测定值判定室内气流速度变动范围及稳定状态。
2.3换气次数测定方法
2.3.1 测定条件
在实验动物设施运转接近设计负荷连续运行 48 h 以上进行测定。
2.3.2 测量仪器
2.3.2.1 测量仪器为精密度为 0.01 以上的热球式电风速计,或智能化数字显示式风速计,或风量罩,校准仪器后进行检测。
2.3.2.2 测量仪器应在有效检定期内。
2.3.3 测定方法
2.3.3.1 通过测定送风口风量(正压式)或出风口(负压式)及室内容积来计算换气次数。
2.3.3.2 风口为圆形时,直径在 200 mm 以下者,在径向上选取 2 个测定点进行测定;直径在 200 mm~ 300 mm 时,用同心圆做 2 个等面积环带,在径向上选取 4 个测定点进行测定;直径为 300 mm~ 600 mm 时,做成3个同心圆,在径向上选取6个点;直径大于 600 mm 时,做成 5 个同心圆测定 10 个点,求出风速平均值。
2.3.3.3 风口为方形或长方形者,应将风口断面分成100 mm×150 mm 以下的若干个等分面积,分别测定各个等分面积中心点的风速,求出平均值,作为平均风速。
2.3.3.4在装有圆形进风口的情况下,可应用与之管径相等、1 000 mm 长的辅助风道或应用风斗型辅助风道,按 2.3.3.2 中所述方法取点进行测定;如送风口为方形或长方形,则应用相应形状截面的辅助风道,按 2.3.3.3中所述方法取样进行测定。
2.3.3.5 使用风量罩测定时,直接将风量罩扣到送(排)风口测定。
2.3. 4 结果计算
按下式求得换气量。

式中:
Q ——所求换气量,单位为立方米每小时(m23/h);
S ——有效横截面积,单位为平方米(m2);
 ——平均风速,单位为米每秒(m/s)。
——平均风速,单位为米每秒(m/s)。
换气量再乘以校正系数即可求得标准状态下的换气量。校正系数进风口为1.0,出风口为0.8,以 20 ℃为标准状态按下式进行换算∶

 ——标准状态时的换气量,单位为立方米每小时(m3/h);
——标准状态时的换气量,单位为立方米每小时(m3/h);
t ——送风温度,单位为摄氏度(℃);
 ——平均风速,单位为米每秒(m/s)。
——平均风速,单位为米每秒(m/s)。
换气次数则由下式求得∶

式中∶
n ——换气次数,单位为次每小时(次/h);
 ——送风量,单位为立方米每小时(m2/h);
——送风量,单位为立方米每小时(m2/h);
V——室内容积,单位为立方米(m2)。
2.4静压差测定
2.4.1 检测条件
2.4.1.1 静态检测
在洁净实验室动物设施空调送风系统连续运行 48 h 以上,已处于正常运行状态,工艺设备已安装,设施内无动物及工作人员的情况下进行检测。
2.4.1.2 动态检测
在洁净实验动物设施已处于正常使用状态下进行检测。
2.4.2 测量仪器
2.4. 2. 1 测量仪器为精度可达 1.0 Pa 的微压计。
2.4.2.2 测量仪器应在有效检定期内。
2.4.3 测定方法
2.4.3.1 检测在实验动物设施内进行,根据设施设计与布局,按人流,物流,气流走向依次布点测定。
2.4.3.2 每个测点的数据应在设施与仪器稳定运行的条件下读取。
2.5空气洁净度检测方法
2.5.1 检测条件
2.5.1.1 静态检测
在实验动物设施内环境净化空调系统正常连续运转 48 h以上,工艺设备已安装,室内无动物及工作人员的情况下进行检测。
2.5.1.2 动态检测
在实验动物设施处于正常生产或实验工作状态下进行检测。
2.5.2 检测仪器
2.5.2.1 尘埃粒子计数器。
2.5.2.2 测量仪器应在有效检定期内。
2.5.3 测定方法
2.5.3.1 静态检测
2.5.3.1.1应对洁净区及净化空调系统进行彻底清洁。
2.5.3.1.2 测量仪器充分预热,采样管必须干净,连接处严禁渗漏。
2.5.3.1.3 采样管长度,应为仪器的允许长度,当无规定时,不宜大于 1.5 m。
2.5.3.1.4 采样管口的流速,宜与洁净室断面平均风速相接近。检测人员应在采样口的下风侧。 2.5.3.2 动态检测
在实验工作区或动物饲育区内,选择有代表性测点的气流上风向进行检测,检测方法和操作与静态检测相同。
2.5.4 测点布置
2.5.4.1 检测实验工作区时,如无特殊实验要求,取样高度为距地面 1.0 m 高的工作平面上。 2.5.4.2 检测动物饲育区内时,取样高度为笼架高度的中央,水平高度约为 0.9 m~1.0 m 的平面上。
2.5.4.3 测点间距为 0.5 m~2.0 m,层流洁净室测点总数不少于 20 点。乱流洁净室面积不大于50 m2的布置5个测点,每增加 20 m2~50 m2应增加 3 个~5个测点。每个测点连续测定 3 次。
2.5.5 采样流量及采样量
2.5.5.1 5级要求洁净实验动物设施(装置)采样流量为 1.0 L/min,采样量不小于1.0 L。
2.5.5.2 6级及以上级别要求的实验动物设施(装置)采样流量不大于 0.5 L/min,采样量不少于1.0 L。
2.5.6 结果计算
2.5.6.1 每个测点应在测试仪器稳定运行条件下采样测定 3 次,计算求取平均值,为该点的实测结果。
2.5.6.2 对于大于或等于 0.5 μm 的尘埃粒子数确定∶层流洁净室取各测定点的最大值。乱流洁净室取各测点的平均值作为实测结果。
2.6空气沉降菌检测方法
2.6.1 测定条件
实验动物设施环境空气中沉降菌的测定应在实验动物设施空调净化系统正常运行至少48 h,经消毒灭菌后进行。
2.6.2 测点选择
每 5 m2~10 m2设置1个测定点,将培养皿放于地面上。
2.6.3 测定方法
平皿打开后放置 30 min,加盖,放于 37 ℃恒温箱内培养 48 h后计算菌落数(个/皿)。营养琼脂培养基的制备:
成分∶营养琼脂培养基。
制法∶将已灭菌的营养琼脂培养基(pH7.6),隔水加热至完全融化。冷却至 50 ℃左右,轻轻摇匀(勿使有气泡),立即倾注灭菌平皿内(直径为 90 mm),每皿注入15 mL~25 mL。待琼脂凝固后,翻转平皿(盖在下),放入 37℃恒温箱内,经 24 h无菌培养,无细菌生长,方可用于检测。
2.7噪声检测方法
2.7.1 检测条件
2.7.1.1 静态检测
在实验动物设施内环境通风、净化、空调系统正常连续运转 48 h 后,工艺设备已安装,室内无动物及生产实验工作人员的条件下进行检测。
2.7.1.2 动态检测
在实验动物设施处于正常生产或实验工作状态条件下进行检测。
2.7.2 检测仪器
2.7.2.1 测量仪器为声级计。
2.7.2.2 测量仪器应在有效检定期内。
2.7.3 测定方法
2.7.3.1 测点布置;而积小于或等于 10 m2的房间,于房间中心离地 1.2 m 高度设一个点;面积大于 10 m2的房间,在室内离开墙壁反射面1.0 m 及中心位置,离地而1.2 m 高度布点检测。
2.7.3.2 实验动物设施内噪声测定以声级计 A 档为准进行测定。
2.8照度测定方法
2.8. 1测定条件
验动物设施内照度,在工作光源接通,并正常使用状态下进行测定。
2.8. 2 测定仪器
2.8.2.1 测定仪器为便携式照度计。
2.8.2.2 测量仪器应在有效检定期内。
2.8.3 测定方法
2.8.3.1在实验动物设施内选定几个具有代表性的点测定工作照度。距地面 0.9 m,离开墙面1.0 m处布置测点。
2.8.3.2 关闭工作照度灯,打开动物照度灯,在动物饲养盒笼盖或笼网上测定动物照度,测定时笼架不同层次和前后都要选点。
2.8.3.3 使用电光源照明时,应注意电压时高时低的变化,应使电压稳定后再测。
2.9氨气浓度测定方法
2.9.1 测定条件
在实验动物设施处于正常生产或实验工作状态下进行,垫料更换符合时限要求。
2.9. 2 测定原理
实验动物设施环境中氨浓度检测应用纳氏试剂比色,法进行。其原理是;氨与纳氏试剂在碱性条件下作用产生黄色,比色定量。
此法检测灵敏度为 2 μg/10mL。
2.9.3 检测仪器
2.9.3.1检测仪器为大型气泡吸收管,空气采样机,流量计 0.2 L/min~1.0 L/min,具塞比色管(10 mL),分光度计。基于纳氏试剂比色法的现场氨测定仪。
2.9.3.2 检测仪器应在有效检定期内。
2.9.4 样品采集
2.9.4.1 试剂
吸收液∶0.05 mol/L 硫酸溶液。
纳氏试剂∶称取17 g 氯化汞溶于300 mL蒸馏水中,另将 35 g 碘化钾溶于100 mL蒸馏水中,将氯化汞溶液滴入碘化钾溶液直至形成红色不溶物沉淀出现为止。然后加入 600 mL. 20%氢氧化钠溶液及剩余的氯化汞溶液。将试剂贮存于另一个棕色瓶内,放置暗处数日。取出上清液放于另一个棕色瓶内,塞好橡皮塞备用。
标准溶液;称取3.879 g硫酸铵[(NH4)2SO4](80 ℃干燥1 h),用少量吸收液溶解,移入1 000 mL容量瓶中,用吸收液稀释至刻度,此溶液1 mL含 1 mg 氨(NH3)贮备液。
量取贮备液 20 mL 移入1000 mL 容量瓶,用吸收液稀释至刻度,配成1mL含 0.02 mg 氨(NH3)的标准溶液备用。
2.9.4.2 样品采集方法
应用装有5 mL吸收液的大型气泡吸收管安装在空气采样器上,以 0.5 L/min 速度在笼具中央位置抽取 5 L 被检气体样品。
2.9.5 分析步骤
采样结束后,从采样管中取1 mL样品溶液,置于试管中,加 4 mL 吸收液,同时按表2.9-1 配制标准色列,分别测定各管的吸光度,绘制标准曲线。
表2.9-1氨标准色列管的配置
| 管号 | 0 | 1 | 2 | 3 | 4 | 5 | 6 | 7 | 8 | 9 | 10 | 
| 标准液/mL | 0 | 0.2 | 0.4 | 0.6 | 0.8 | 1.0 | 1.2 | 1.4 | 1.6 | 1.8 | 2.0 | 
| 0.05molH2SO4/mL | 5 | 4.8 | 4.6 | 4.4 | 4.2 | 4.0 | 3.8 | 3.6 | 3.4 | 3.2 | 3.0 | 
| 纳氏试剂/mL | 0.5 | 0.5 | 0.5 | 0.5 | 0.5 | 0.5 | 0.5 | 0.5 | 0.5 | 0.5 | 0.5 | 
| 氨含量/mg | 0 | 0.004 | 0.008 | 0.012 | 0.016 | 0.02 | 0.024 | 0.028 | 0.032 | 0.036 | 0.04 | 
| 吸光度 | 
向样品管中加入0.5 mL 纳氏试剂,混匀,放置5 min 后用分光光度计在500 nm处比色,读取吸光度值,从标准曲线表中查出相对应的氨含量。
2.9.6 计算
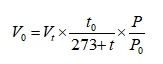
2.9.6.1 将采样体积按下式换算成标准状态下采样体积

式中∶
 ——标准状态下的采样体积,单位为升(L);
——标准状态下的采样体积,单位为升(L);
 ——采样体积,单位为升(L);
——采样体积,单位为升(L);
t——采样点的气温,单位为摄氏度(℃);
 ——标准状态下的绝对温度 273 K;
——标准状态下的绝对温度 273 K;
P——采样点的大气压,单位为千帕(kPa);
 ——标准状态下的大气压,101 kPa。
——标准状态下的大气压,101 kPa。
2.9.6.2 空气中氨浓度,下式:

式中∶
X——空气中氨浓度,单位为毫克每立方米(mg/m3);
C——样品溶液中氨含量,单位为微克(μg);
 ——换算成标准状况下的采样体积,单位为升(L)。
——换算成标准状况下的采样体积,单位为升(L)。
2.9.7 注意事项
当氨含量较高时,则形成棕红色沉淀,需另取样品,增加稀释倍数,重新分析;甲醛和硫化氢对测定有干扰;所有试剂均需用无氨水配制。