本期着重对包装饮用水生产洁净室(区)要求及检测方法进行详细阐述。
国家市场监督管理总局于2018年06月21日发布《食品安全国家标准包装饮用水生产卫生规范》GB 19298-2014,并于2019年06月21日实施。该标准规定了包装饮用水的生产用源水水质监测、水源卫生防护、源水采集,以及生产过程中加工、包装、贮存和运输等环节的场所、设施、设备、人员的基本要求和管理准则。该标准适用于饮用天然矿泉水、饮用纯净水、其他饮用水。
1、要求:
1.1生产厂房:厂房和车间应设立水处理区、灌装防护区、检测实验室、包装区、原辅材料及包装材料仓库、成品仓库。采用可周转的容器生产包装饮用水,应单独设立周转容器的检查和预处理区。生产过程中如需使用食品添加剂的(气体除外),应设置配(投)料区。
厂房和车间应分为一般作业区、准清洁作业区和清洁作业区。一般作业区通常包括水处理区、包装区、仓库,周转容器的检查区等;准清洁作业区通常包括配(投)料区、预包装清洗消毒区等;灌装防护区应设在清洁作业区。采用自带洁净室及洁净环境自动恢复功能的吹瓶、灌装、封盖(封口)一体,且其 内部形成清洁作业环境的设备可不设在清洁作业区。
1.2设施:
1.2.1 供水设施
不同用途的水如生产用源水、清洗消毒用水、辅助生产用水等,应避免交叉污染,各管路系统 应明确标识以便区分,鼓励企业设置清洗水回收设施。
一般生产区一般生产区应包括仓储用房、非洁净生产用房、外包装用房等。应设计合理、采光、通风良好,能够满足生产工艺需要。一般作业区、准清洁作业区与清洁作业区,各区之间应采取有效的隔离,防止交叉污染
辅助生产用水包括锅炉房、机修、制冷、空压机及真空泵站、污水站、检验实验室和贮运等的用水。
1.2.2 清洁消毒设施
应根据工艺需要配备相应的容器清洁消毒设施。与产品接触的设备及管道的清洗消毒应配备清洗消毒设施,鼓励使用原位清洗系统(clean in peace,CIP),应定期对清洗消毒的效果进行评估。
1.2.3 个人卫生设施
配(投)料区应设置二次换鞋(穿戴鞋套)设施或工作鞋靴消毒设施,洗手、干手、消毒设施;
清洁作业区入口处应设置二次更衣室,设置风淋设施、换鞋(穿戴鞋套)设施或工作鞋靴消毒 设施,洗手、干手、消毒设施。
1.2.4 空气净化设施
食品加工用水储水罐应安装空气呼吸器。
灌装防护区应加装空气过滤装置,对空气进行过滤净化处理,并对过滤装置定期清洁。
灌装防护区静态空气洁净度(悬浮粒子、沉降菌)应达到10000级且灌装局部应达到100级;或灌装防护区静态整体空气洁净度达到1000级。
生产过程中直接与产品或包装接触的压缩空气应经过除油、除水、除尘过滤处理。
说明:
普通食品洁净室(区)在静态条件下检测的尘埃数、浮游菌或者沉降菌数、换气次数(100级层流风速)、静压差、温度、相对湿度必须符合规定。
附录D.进出洁净室(区)的一般程序
2、检测方法
2.1温湿度的检测
2.1.1 无恒温恒湿要求的温湿度检测应符合下列要求;
1 室内空气温度和相对湿度测定之前,空调净化系统应已连续运行至少 8h。
2 温度的检测可采用玻璃温度计、数字式温湿度计;湿度的检测可采用通风式干湿球温度计、数字式温湿度计、电容式湿度检测仪或露点传感器等。根据温湿度的波动范围,应选择足够精度的测试仪表。温度检测仪表的最小亥刻度不宜高于 0.4℃,湿度检测仪表的最小刻度不宜高于2%。
测点为房间中间一点,应在温湿度读数稳定后记录。测完室内温湿度后,还应同时测出室外温湿度。
2.1.2 有恒温恒湿要求房间的温湿度检测应符合下列要求;
1 选择以下检测仪器;
1)温度计∶采用铂电阻、热电偶或其他类似温度传感器组成测温系统;
2)湿度计∶可采用干湿球温度计或其他固态湿度传感器组成测湿系统。
2 检测方法与步骤如下∶
1)室内空气温度和相对湿度测定之前,空调系统应已连续运行至少12h;
2)根据温度和相对湿度波动范围(表1),应选择相应的具有足够精度的仪表进行测定。根据由低到高的精度,测定宜连续进行 (8~48)h,每次测定间隔不应大于30min;
3)室内测点可在送回风口处或在恒温恒湿工作区具有代
表性的地点布置。测点一般应布置在距外墙表面大于 0.5m、距地 0.8m 的同一一高度上; 也可以根据恒温恒湿区的大小,分别布置在离地不同高度的几个平面上。具体测点数应符合表1 的规定。
表1 有恒温恒湿要求时的温、湿度测点数
波动范围 | 室面积≤50m2 | 每增加20~50m2 |
温度波动 Δt=±0.5℃~±2℃ | 5 | 增加 3~5个 |
相对湿度波动 ΔRH=±5%~±10% | ||
温度波动 Δt≤|0.5|℃ | 点间距不应大于 2m,点数不应少于5个 | |
相对湿度波动 △RH≤|5|% | ||
2.2风速的检测
2.2.1 风量风速检测必须首先进行,净化空调各项效果必须是在设计的风量风速条件下获得。
2.2.2 风量检测前必须检查风机运行是否正常,系统中各部件安装是否正确,有无障碍,所有阀门应固定在一定的开启位置上,且必须实际测量被测风口、风管尺寸。
2.2.3 测定室内微风速仪器的最小刻度或读数不 应大于 0.02m/s,一一般可用热球式风速仪,需要测出分速度时,应采用超声波三维风速计。
2.2.4 对于单向流洁净室,可采用室截面平均风速和截面积乘积的方法确定送风量,垂直单向流洁净室的测定截面取距地面 0.8m 的无间隔面 (孔板、格栅除外) 的水平截面,如有阻隔面,该测定截面应抬高至阻隔面之上 0.25m;水平单向流洁净室取距送风面 0.5m 的垂直于地面的截面,截面上,测点间距不应大于1m,一般取0.3m。测点数应不少于 20个,均匀布置。
2.2.5 对于非单向流洁净室,内安装过滤器的风口可采用套管法、风量罩法或风管法测定风量,为测定回风口或新风口风量,也可用风口法。
2.3换气次数的检测

2.4静压差的检测
2.4.1 静压差的测定应在所有房间的门关闭时进行,有排风时,应在最大排风量条件下进行,并宜从平面上最里面的房间依次向外测定相邻相通房间的压差, 直至测出洁净区与非洁净区、室外环境(或向室外开口的房间)之间的压差。
2.4.2 对于洁净度 5 级或优于5级的单向流动洁净室,还应测定在门开启状态下,离门口 0.6m 处的室内侧工作面高度的粒子数。
2.4.3 有不可关闭的开口与邻室相通的洁净室,还应测定开口处的流速和流向。
2.5微生物的检测
2.5.1 沉降菌的检测
2.5.1.1使用直径?90mm 的培养皿采样。当采用其他直径培养皿时,应使其总面积和?90mm皿总面积相当。
2.5.1.2培养皿中灌注胰蛋白酶大豆琼脂培养基,必须留样作阴性对照。
2.5.1.3培养皿表面应经适当消毒清洁处理后,布置在有代表性的地点和气流扰动极小的地点。在乱流洁净室内培养皿不应布置在送风口正下方。
2.5.1.4当用户没有特定要求时,培养皿应布置在地面及其以上 0. 8m之内的任意高度。
2.5.1.5每一间洁净室或每一个控制区应设1个阴性对照皿。
2.5.1.6动态监测时也可协商布点位置和高度。
2.5.1.7培养皿数应不少于微粒计数浓度的测点数,如工艺无特殊要求应大于等于表中的最少培养皿数,另外各加1个对照皿。
洁净度级别 | 所需培养皿数(以沉降0.5h计) |
100级 | 13 |
1000级 | 4 |
10000级 | 3 |
2.5.1.8当延长沉降时间时,可按比例减少最少培养皿数,为防止脱水,最长沉降时间不宜超过lh,当所需沉降时间超过lh, 可重叠多皿连续采样。除非经过验证,证明更长的沉降时间可以基本按比例增加菌落数。
2.5.1.9培养皿应从内向外布置,从外向内收皿。
2.5.1.10每布置完1个皿,皿盖只允许斜放在皿边上,对照皿盖挪开即盖上。
2.5.1.11布皿前和收皿后,均应用双层包装保护培养皿,以防污染。
2.5.1.12收皿后皿应倒置摆放,并应及时放入培养箱培养,在培养箱外时间不宜超过2h。如无专业标准规定,对于检测细菌总数,培养温度采用(35?37)℃,培养时间为(24?48) h;对于检测真菌,培养温度(27?29)℃,培养时间3d。
2.5.1.13布皿和收皿的检测人员必须穿无菌服,但不得穿大褂。 头、手均不得裸露,裤管应塞在袜套内,并不得穿拖鞋。
2.5.1.14对培养后的皿上菌落计数时,应采用5?10倍放大镜查看,若有2个或更多的菌落重叠,可分辨时则以2个或多个菌落计数。
2.5.1.15当单皿菌落数太大受到质疑时,可按以下原则之一进行处理:
1)作为坏点剔除;
2)重测,如结果仍大,以两次平均值为准;如结果很小, 可再重测;
3)重测该处微粒浓度,参考此结果作出判断。
所有上述处理方法均应记录在案。
2.5.1.16毎皿平均菌落数取到小数点后1位。
2.5.1.17动态监测时每点叠放多个平皿或采用可自动切换的仪器,每点应釆满4h以上,每皿可采30mino当只放1个皿时, 可少于4h,但不可少于lh。
2.6悬浮粒子的检测
2.6.1 室内检测人员应控制在最低数量,不宜超过2人,面积超过100㎡又需快速完成测定任务时可适当增加人数。人员必须穿洁净服,应位于测点下风向并原理测点,动作要轻,保持静止。
2.6.2 0.5μm及5μm微粒的检测应符合以下要求:
1)采用尘埃粒子计数器测定0.5μm及5μm微粒应根据以下步骤计算空气洁净度级别
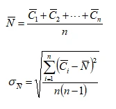
室内平均含尘浓度
和各测点平均含尘浓度的标准误差

表2:洁净度评级标准
采样点数 | 合格标准 | 结论 |
1 |
| 达到该级别 |
2~9 |
| 达到该级别 |
≥10 |
| 达到该级别 |
注:n 测点数
——每个采样点上连续3次或3次以上稳定读数的平均值;
——各店平均值中的最大值;
t——置信上限为95%时,2~9点采样时单侧t分布的系数,其值见下表。
表3:系数t
点数 | 2 | 3 | 4 | 5 | 6 | 7 | 8 | 9 |
t | 6.31 | 2.92 | 2.35 | 2.13 | 2.02 | 1.94 | 1.90 | 1.86 |
2.6.3测点数按下表选用
面积(m2) | 洁净度 | ||
100级 | 1000级 | 10000级 | |
<10 | 2~3 | 2 | 2 |
10 | 4 | 3 | 2 |
20 | 8 | 6 | 2 |
40 | 16 | 13 | 4 |
100 | 40 | 32 | 10 |
200 | 80 | 63 | 20 |
400 | 160 | 126 | 40 |
1000 | 400 | 316 | 100 |
2000 | 800 | 623 | 200 |
2.6.3.1采样点应均匀分布于洁净室或洁净区的整个面积内,并位于工作区高度(取距地面0.8m,或根据工艺商定),当工作区分布于不同高度时,可以有1个以上测定面。
2.6.3.2乱流洁净室(区)内采样点不得布置在送风口正下方。
2.6.3.3每一测点上每次的采样必须满足最小采样量。
2.6.3.4每次采样点数应满足可连续记录下3次稳定的相近数值,3次平均值代表该点数值。
测单向流时,采样头应对准气流;测非单向流时,采样头一律向上。
附录A:包装饮用水生产洁净室(区)
监测项目 | 技术指标 | 监测方法 | |||
100级 | 1000级 | 10000级 | |||
温度,℃ | 按工艺要求 | GB 50591-2010 | |||
相对湿度,% | 按工艺要求 | ||||
风速,m/s | 0.2~0.4 | —— | —— | ||
换气次数,次/h | — | 50~60 | 15~25 | ||
静压差,Pa | 不同级别洁净室(区)及洁净室(区)与非洁净室(区)之间≥5 | ||||
洁净室(区)与室外大气≥10 | |||||
尘埃数 个/m3 | ≥0.5μm | ≤3 520 | ≤35 200 | ≤352 000 | |
≥5μm | 29 | ≤2 930 | ≤29 300 | ||
沉降菌数(φ90mm),cfu/30min | 按工艺要求 | 按工艺要求 | 按工艺要求 | ||